1. Immunology/Inflammation Apoptosis
  2. Interleukin Related TNF Receptor
  3. Tebentafusp

Tebentafusp  (Synonyms: IMCgp100)

目录号: HY-P99339 纯度: 99.90%
COA 技术支持

Tebentafusp (IMCgp100) 是一种双特异性融合蛋白,靶向 gp100 (一种黑色素瘤相关抗原)。Tebentafusp 通过高亲和力 T 细胞受体 (TCR) 结合域和抗 CD3 T 细胞接合域引导 T 细胞杀死表达 gp100 的肿瘤细胞。Tebentafusp 诱导炎性细胞因子和细胞溶解蛋白的产生,导致肿瘤细胞的直接裂解。

MCE 的所有产品仅用作科学研究或药证申报,我们不为任何个人用途提供产品和服务

CAS No. : 1874157-95-5

1.  客户无需承担相应的运输费用。

2.  同一机构(单位)同一产品试用装仅限申领一次,同一机构(单位)一年内

     可免费申领三个不同产品的试用装。

3.  试用装只面向终端客户

规格 价格 是否有货 数量
1 mg ¥7500
In-stock
5 mg   询价  
10 mg   询价  

* Please select Quantity before adding items.

  • 生物活性

  • 纯度 & 产品资料

  • 参考文献

生物活性

Tebentafusp (IMCgp100) is a bispecific fusion protein to target gp100 peptide-HLA-A*02:01 (a melanoma-associated antigen). Tebentafusp guides T cells to kill gp100-expressing tumor cells via a high affinity T-cell receptor (TCR) binding domain and an anti-CD3 T-cell engaging domain. Tebentafusp leads to inflammatory cytokines and cytolytic proteins production, resulting in the direct lysis of tumour cells[1][2].

反应种属

Human

IC50 & Target

CD3E & PMEL

体外研究
(In Vitro)

Tebentafusp 是一种识别由 HLA-A*0201 表达的黑色素瘤特异性蛋白 gp100 衍生的肽的ImmTAC[3]
Tebentafusp (31 pM, 82 pM 和131 pM; 16 h) 刺激 PBMC 对 Mel526 细胞而不是 gp100 阴性 A375 细胞的细胞毒性脱颗粒活性[3]
Tebentafusp (100 pM; 0-50h) 介导 CD8+ T 细胞 (虽然存在调节性 T 细胞) 的杀伤,表现在40-48小时内 caspase 3/7 的激活[3]
Tebentafusp (100 pM; 0-80 h) 触发 CD4+ T 细胞亚群对黑素瘤细胞的细胞溶解[3]
Tebentafusp (1, 12, 31, 82 和131 pM; 24 h 或 96 h) 增加颗粒酶 B 的含量,并诱导 CD4+ 和 CD8+ 细胞广泛释放细胞因子和趋化因子[3]

MCE has not independently confirmed the accuracy of these methods. They are for reference only.

体内研究
(In Vivo)

Tebentafusp (10 μg/kg; 静脉注射) 在小鼠黑色素瘤模型中抑制肿瘤的生长[4]

MCE has not independently confirmed the accuracy of these methods. They are for reference only.

Clinical Trial
基因 ID

916  [NCBI] & 6490  [NCBI]

Accession
应用

ELISA, FACS, Functional assay

偶联物

Unconjugated

复溶方法

The product can be reconstituted/diluted with sterile PBS or saline.

分子量

76.16 kDa

CAS 号
性状

液体

颜色

Colorless to light yellow

运输条件

Shipping with dry ice.

储存方式

Please store the product under the recommended conditions in the Certificate of Analysis.

Format
  • scFv-TR-Alpha_Beta-2
Biological Activity
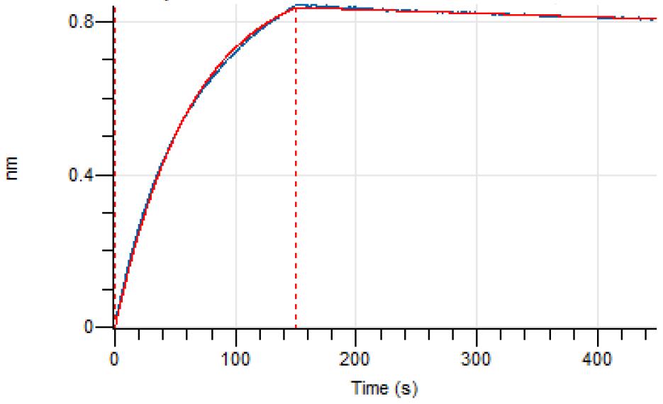
  • Loaded HLA-A*0201 GP100 Complex Protein, Human (Biotinylated, YLEPGPVTA, HEK293, His-Avi, HY-P77754) on NTA biosensor, can bind Tebentafusp with an affinity constant of 7.761E-10 M as determined in BLI assay.
纯度 & 产品资料

纯度: 99.90%

参考文献
  • 摩尔计算器

  • 稀释计算器

The molarity calculator equation

Mass (g) = Concentration (mol/L) × Volume (L) × Molecular Weight (g/mol)

质量   浓度   体积   分子量 *
= × ×

The dilution calculator equation

Concentration (start) × Volume (start) = Concentration (final) × Volume (final)

This equation is commonly abbreviated as: C1V1 = C2V2

浓度 (start) × 体积 (start) = 浓度 (final) × 体积 (final)
× = ×
C1   V1   C2   V2
Help & FAQs
  • Do most proteins show cross-species activity?

    Species cross-reactivity must be investigated individually for each product. Many human cytokines will produce a nice response in mouse cell lines, and many mouse proteins will show activity on human cells. Other proteins may have a lower specific activity when used in the opposite species.

您最近查看的产品:

Your information is safe with us. * Required Fields.

   产品名称:

 

* 需求量:

* 客户姓名:

 

* Email:

* 电话:

 

* 公司或机构名称:

   留言给我们:

Bulk Inquiry

Inquiry Information

产品名称:
Tebentafusp
目录号:
HY-P99339
需求量: